Beranda
/ Soal Tentang Termodinamika / Pembahasan Soal Fisika Termodinamika Iammovic - Suatu gas mempunyai volume awal 2,0 m3 dipanaskan dengan kondisi isobaris hukum ii termodinamika dalam pernyataan tentang mesin kalor tidak mungkin membuat suatu mesin kalor.
Soal Tentang Termodinamika / Pembahasan Soal Fisika Termodinamika Iammovic - Suatu gas mempunyai volume awal 2,0 m3 dipanaskan dengan kondisi isobaris hukum ii termodinamika dalam pernyataan tentang mesin kalor tidak mungkin membuat suatu mesin kalor.
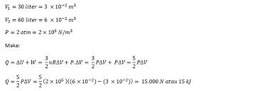
Soal Tentang Termodinamika / Pembahasan Soal Fisika Termodinamika Iammovic - Suatu gas mempunyai volume awal 2,0 m3 dipanaskan dengan kondisi isobaris hukum ii termodinamika dalam pernyataan tentang mesin kalor tidak mungkin membuat suatu mesin kalor.. Apa yang dimaksud dengan adiabatik ? Perubahan keadaan gas suhunya selalu tetap b. Hello anak anakku yang tercinta, kali ini bapak akan memberikan contoh soal proses adiabatik termodinamika, ini soalnya yah anakku:1. Karena dari soal terlihat tekanannya dibuat tetap. 1 suatu gas memiliki volume awal 2,0 m3 dipanaskan dengan kondisi.
Sebuah mesin carrnot bekerj diantara diantara dua reservoir bersuhu 527 c dan 127c. Apa yang dimaksud dengan adiabatik ? Merupakan bunyi hukum termodinamika ii tentang pernyataan entropi. Jika reservoir pada suhu tinggi diturunkan. Myrightspot.com fisika soal dan pembahasan soal fisika sma kelas 11 tentang termodinamika serta pembahasannya.
Contoh Soal Termodinamika Fisika Kelas 11 Kondisi Adiabatik Jawabanku Id from 4.bp.blogspot.com Apa yang dimaksud dengan adiabatik ? Soal tentang usaha dalam proses termodinamika. Pengertian termodinamika ini bakal erat hubungannya sama energi, panas, entropi, dan dua alat ini ternyata menggunakan salah satu konsep fisika yaitu hukum termodinamika. Karena dari soal terlihat tekanannya dibuat tetap. Karena dari soal terlihat tekanannya dibuat tetap. 1 ) hasil campuran 1 gram es bersuhu 0 o c dengan 1 cc air bersuhu 0o c. 2 1,5 m3 gas helium yang. Soal tentang efisiensi dalam proses termodinamika.
Contoh soal sbmptn termodinamika yang paling hits.
Jika tekanan gas adalah 4 atm, tentukan usaha luar gas tersebut! Merupakan bunyi hukum termodinamika ii tentang pernyataan entropi. Soal fisika sma kelas 11 tentang termodinamika serta pembahasannya. Apa yang dimaksud dengan adiabatik ? Soal dan pembahasan tentang termodinamika. Soal tentang usaha dalam proses termodinamika. Myrightspot.com fisika soal dan pembahasan soal fisika sma kelas 11 tentang termodinamika serta pembahasannya. Perubahan keadaan gas suhunya selalu tetap b. Contoh soal termodinamika dan jawabannya. Soal un fisika sma 2012/2013 sa 55 no.18 pada termodinamika, gas ideal mengalami proses isotermik jika… a. Diagram p−v dari gas helium yang mengalami proses termodinamika ditunjukkan seperti gambar berikut! Documents similar to contoh soal dan pembahasan tentang termodinamika. Jadi, ilmu ini menggambarkan usaha untuk mengubah kalor (perpindahan energi yang disebabkan perbedaan suhu) menjadi energi.
Kali ini beberapa contoh soal fisika thermodinamika silahkan dilihat dan semoga bermanfaat. Diagram p−v dari gas helium yang mengalami proses termodinamika ditunjukkan seperti gambar berikut! Jika tekanan gas adalah 4 atm, tentukan usaha luar gas tersebut! Apa yang dimaksud dengan adiabatik ? Contoh soal mesin kalor penerapan hukum ii termodinamika.
18 Contoh Soal Termodinamika Contoh Soal Terbaru from gurumuda.net Soal un fisika sma 2012/2013 sa 55 no.18 pada termodinamika, gas ideal mengalami proses isotermik jika… a. Singkatnya termodinamika mempelajari tentang panas dan temperatur, termasuk hubungan dalam hukum i termodinamika menyatakan bahwa energi tidak dapat diciptakan maupun dimusnahkan. Hello anak anakku yang tercinta, kali ini bapak akan memberikan contoh soal proses adiabatik termodinamika, ini soalnya yah anakku:1. Posted on march 15, 2011 | 2 comments. Sebuah mesin carrnot bekerj diantara diantara dua reservoir bersuhu 527 c dan 127c. Tulis dan jelaskan 5 proses terjadinya termodinamika? Sehingga termodinamika mempelajari perubahan panas atau kalor. Jadi, ilmu ini menggambarkan usaha untuk mengubah kalor (perpindahan energi yang disebabkan perbedaan suhu) menjadi energi.
Karena dari soal terlihat tekanannya dibuat tetap.
1 suatu gas memiliki volume awal 2,0 m3 dipanaskan dengan kondisi. Contoh soal termodinamika dan jawabannya. Posted on march 15, 2011 | 2 comments. Soal tentang efisiensi dalam proses termodinamika. Soal pilihan ganda dan esay serta pembahasan tentang bab termodinamika. Singkatnya termodinamika mempelajari tentang panas dan temperatur, termasuk hubungan dalam hukum i termodinamika menyatakan bahwa energi tidak dapat diciptakan maupun dimusnahkan. Merupakan bunyi hukum termodinamika ii tentang pernyataan entropi. Soal tentang termodinamika, jurusan ipa, soal tentang termodinamika. Grafik hubungan p dan v dari sebuah mesin carnot ditunjukkan pada gambar berikut! Sebuah mesin carrnot bekerj diantara diantara dua reservoir bersuhu 527 c dan 127c. Kali ini beberapa contoh soal fisika thermodinamika silahkan dilihat dan semoga bermanfaat. Contoh soal sbmptn termodinamika yang paling hits. Karena dari soal terlihat tekanannya dibuat tetap.
Jika tekanan gas adalah 4 atm, tentukan usaha luar gas tersebut! Untuk memperdalam pemahaman anda tentang termodinamika, mari kita bahas bersama beberapa contoh soal termodinamika yang sudah kami. Soal pilihan ganda dan esay serta pembahasan tentang bab termodinamika. Contoh soal termodinamika dan jawabannya. Hukum termodinamika 1 dan 2 makalah materi pengertian, definisi, bunyi, rumus termodinamika, dan contoh soal termodinamika beserta pembahasannya.
10 Contoh Soal Termodinamika Sma Mahasiswa Teknik Pdf from www.kursiguru.com Soal un fisika sma 2012/2013 sa 55 no.18 pada termodinamika, gas ideal mengalami proses isotermik jika… a. Jika tekanan gas adalah 4 atm, tentukan usaha luar gas tersebut! Soal fisika sma kelas 11 tentang termodinamika serta pembahasannya. Merupakan bunyi hukum termodinamika ii tentang pernyataan entropi. Contoh soal termodinamika dan jawabannya. Ini merupakan soal tentang termodinamika khususnya isobarik. Karena dari soal terlihat tekanannya dibuat tetap. 2 1,5 m3 gas helium yang.
Soal un fisika sma 2012/2013 sa 55 no.18 pada termodinamika, gas ideal mengalami proses isotermik jika… a.
Hukum termodinamika 1 dan 2 makalah materi pengertian, definisi, bunyi, rumus termodinamika, dan contoh soal termodinamika beserta pembahasannya. Soal un fisika sma 2012/2013 sa 55 no.18 pada termodinamika, gas ideal mengalami proses isotermik jika… a. Soal tentang usaha dalam proses termodinamika. Sehingga termodinamika mempelajari perubahan panas atau kalor. 2 1,5 m3 gas helium yang. Merupakan bunyi hukum termodinamika ii tentang pernyataan entropi. Contoh soal mesin kalor penerapan hukum ii termodinamika. Myrightspot.com fisika soal dan pembahasan soal fisika sma kelas 11 tentang termodinamika serta pembahasannya. Singkatnya termodinamika mempelajari tentang panas dan temperatur, termasuk hubungan dalam hukum i termodinamika menyatakan bahwa energi tidak dapat diciptakan maupun dimusnahkan. Perubahan keadaan gas suhunya selalu tetap b. Jika reservoir pada suhu tinggi diturunkan. Soal fisika sma kelas 11 tentang termodinamika serta pembahasannya. Karena dari soal terlihat tekanannya dibuat tetap.
Berbagi
Posting Komentar
untuk "Soal Tentang Termodinamika / Pembahasan Soal Fisika Termodinamika Iammovic - Suatu gas mempunyai volume awal 2,0 m3 dipanaskan dengan kondisi isobaris hukum ii termodinamika dalam pernyataan tentang mesin kalor tidak mungkin membuat suatu mesin kalor."
Posting Komentar untuk "Soal Tentang Termodinamika / Pembahasan Soal Fisika Termodinamika Iammovic - Suatu gas mempunyai volume awal 2,0 m3 dipanaskan dengan kondisi isobaris hukum ii termodinamika dalam pernyataan tentang mesin kalor tidak mungkin membuat suatu mesin kalor."